伟德国际(bevictor)官方网站-Global Platform
联系我们
|
加入收藏
|
农大主页
网站首页
学院概况
学院简介
党政领导
组织机构
学术委员会
校学术委员会
院学术委员会
bet伟德官方网站
动物科学
教育教学
本科生教育
研究生教育
科学研究
科研平台
科研进展
交流合作
学生工作
学工动态
研工动态
党群工作
党务公开
工作动态
实验中心
学院新闻
网站首页
学院概况
学院简介
党政领导
组织机构
学术委员会
校学术委员会
院学术委员会
bet伟德官方网站
动物科学
教育教学
本科生教育
研究生教育
科学研究
科研平台
科研进展
交流合作
学生工作
学工动态
研工动态
党群工作
党务公开
工作动态
实验中心
通知公告
学院概况
学术委员会
bet伟德官方网站
教育教学
科学研究
学生工作
党群工作
实验中心
首页
>
通知公告
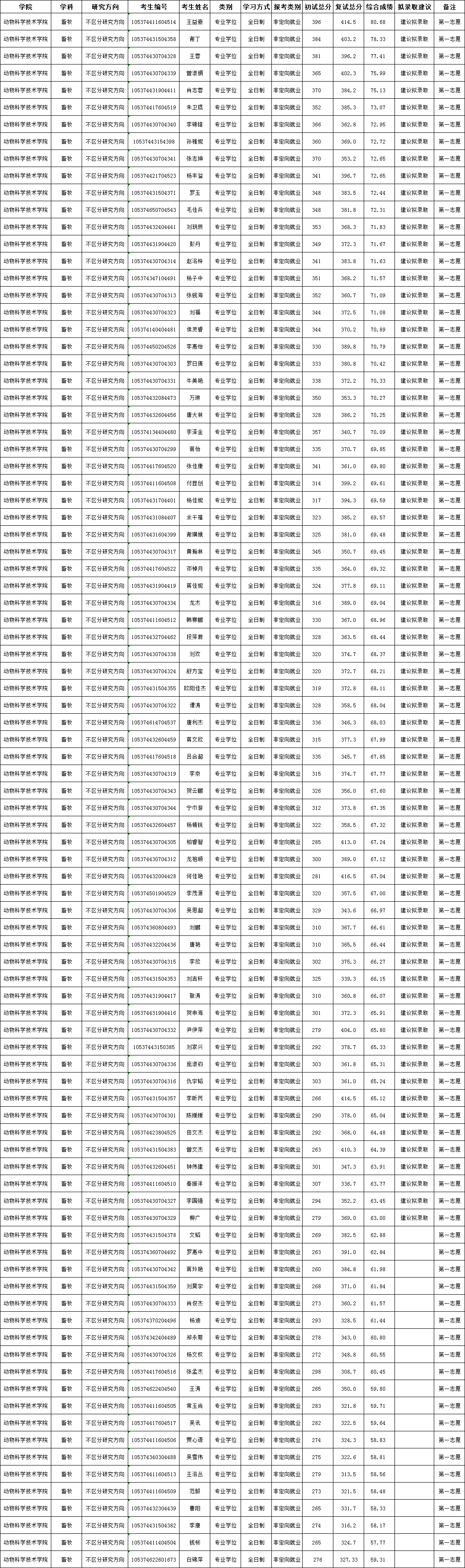
bevictor伟德官网,bet伟德官方网站2024年硕士研究生复试结果公示(持续更新)
时间: 2024/04/04 作者: 点击:
次
各位考生:
从即日起我院各学科复试成绩及综合成绩将持续公示(见附件),敬请各位考生关注!
如有异议,请联系各招生学科。
bevictor伟德官网,bet伟德官方网站
2024年4月4日
点击下载文件:
上一篇:
bevictor伟德官网,bet伟德官方网站2024年硕士研究生复试结果公示(持续更新)
下一篇:
bevictor伟德官网,bet伟德官方网站2024年硕士研究生复试结果公示(持续更新)